• Предмет: Физика
  • Автор: Воблавич
  • Вопрос задан 9 лет назад

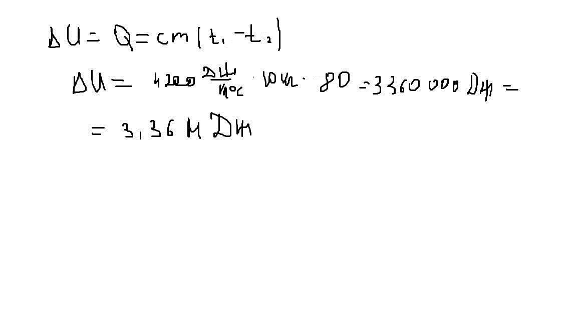
На сколько уменьшится внутренняя энергия ведра воды обьёмом 10 л при охлаждении от 100 градусов до 20 градусов?

Ответы

Ответ дал: Amorfus
0
Конечно она уменьшиться за счет понижения температуры 
Приложения:
Ответ дал: Воблавич
0
Спасибо)
Вас заинтересует