• Предмет: Алгебра
  • Автор: Iizolda
  • Вопрос задан 9 лет назад

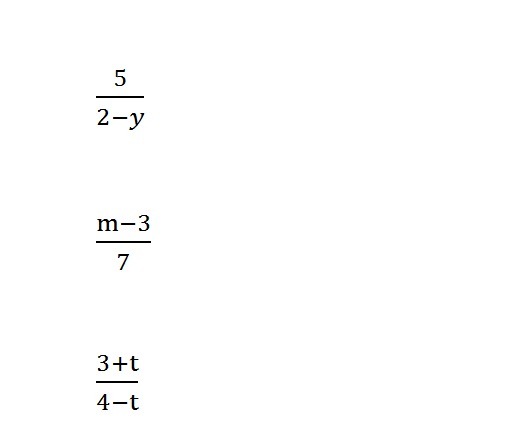
При каких значениях переменной имеет смысл выражение?

Приложения:

Ответы

Ответ дал: kasimka5
0
А) Любые значения у, кроме у=2,5
Б)Любые значения m
В) Любые значения t, кроме t =4
Ответ дал: Iizolda
0
Спасибо!
Вас заинтересует