• Предмет: Математика
  • Автор: 228бель
  • Вопрос задан 9 лет назад

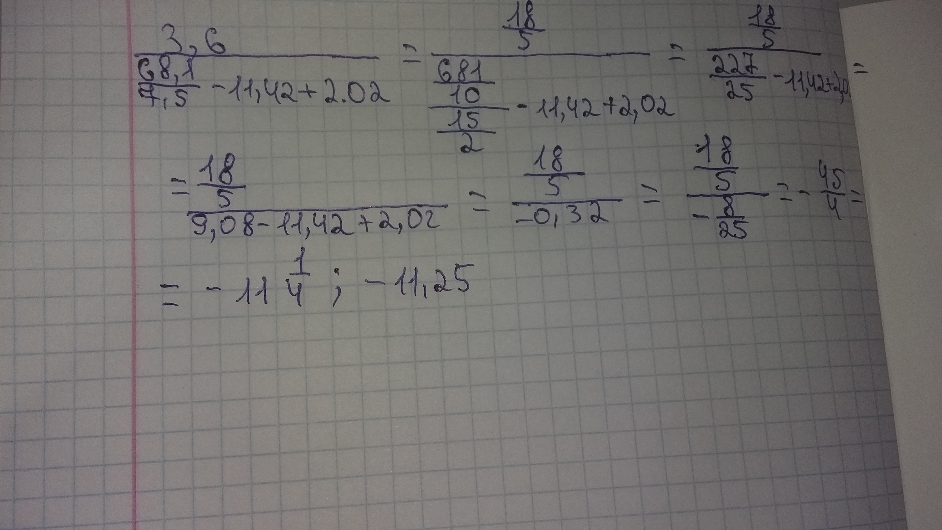
3.6/(68.1/7.5-11.42+2.02)=

Ответы

Ответ дал: martapavlusyk
0
-11.25 можна и дробом - 45/4
Приложения:
Ответ дал: martapavlusyk
0
щас
Ответ дал: martapavlusyk
0
подожди
Ответ дал: martapavlusyk
0
вот
Ответ дал: 228бель
0
да сё уже не надо
Ответ дал: 228бель
0
спс
Вас заинтересует