Ответы
Ответ дал:
0
2 - √3 = (2 - √3)(2 + √3)/(2 + √3) = (4 - 3)/(2 + √3) = 1/(2 + √3) =
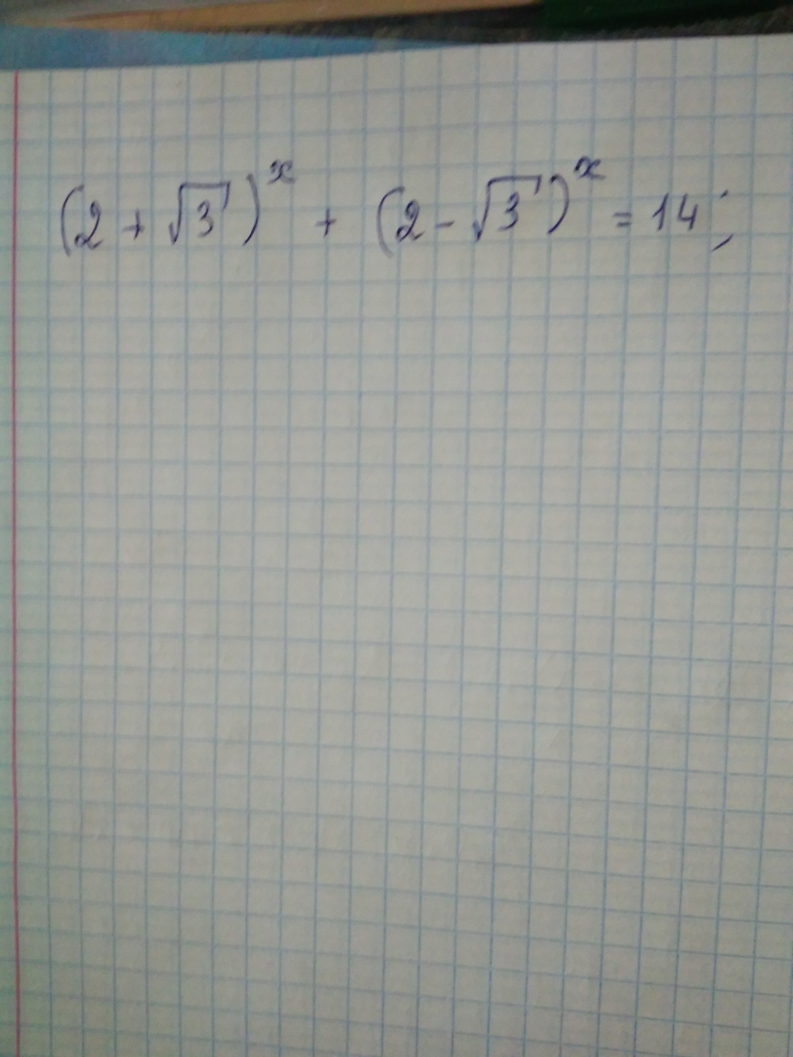
(2 + √3)ˣ + 1/(2 + √3)ˣ = 14
Пусть t = (2 + √3)ˣ, t > 0
t + 1/t = 14
t - 14 + 1/t = 0
(t² - 14t + 1)/t = 0
t² - 14t + 1 = 0
t² - 14t + 49 - 48 = 0
(t - 7)² - (4√3)² = 0
(t - 7 - 4√3)(t - 7 + 4√3) = 0
t - 7 - 4√3 = 0 или t - 7 + 4√3 = 0
t = 7 + 4√3 или t = 7 - 4√3
Оба числа положительные
Обратная замена:
1) (2 + √3)ˣ = 7 + 4√3
(2 + √3)ˣ = 3 + 4√3 + 4
(2 + √3)ˣ = (2 + √3)²
x = 2
2) (2 + √3)ˣ = 7 - 4√3
(2 + √3)ˣ = 4 - 4√3 + 3
(2 + √3)ˣ = (2 - √3)²
(2 + √3)ˣ = 1/(2 + √3)²
(2 + √3)ˣ = (2 + √3)⁻²
x = -2
Ответ: x = -2; 2.
(2 + √3)ˣ + 1/(2 + √3)ˣ = 14
Пусть t = (2 + √3)ˣ, t > 0
t + 1/t = 14
t - 14 + 1/t = 0
(t² - 14t + 1)/t = 0
t² - 14t + 1 = 0
t² - 14t + 49 - 48 = 0
(t - 7)² - (4√3)² = 0
(t - 7 - 4√3)(t - 7 + 4√3) = 0
t - 7 - 4√3 = 0 или t - 7 + 4√3 = 0
t = 7 + 4√3 или t = 7 - 4√3
Оба числа положительные
Обратная замена:
1) (2 + √3)ˣ = 7 + 4√3
(2 + √3)ˣ = 3 + 4√3 + 4
(2 + √3)ˣ = (2 + √3)²
x = 2
2) (2 + √3)ˣ = 7 - 4√3
(2 + √3)ˣ = 4 - 4√3 + 3
(2 + √3)ˣ = (2 - √3)²
(2 + √3)ˣ = 1/(2 + √3)²
(2 + √3)ˣ = (2 + √3)⁻²
x = -2
Ответ: x = -2; 2.
Вас заинтересует
2 года назад
2 года назад
7 лет назад
9 лет назад
9 лет назад
10 лет назад