Ответы
Ответ дал:
0
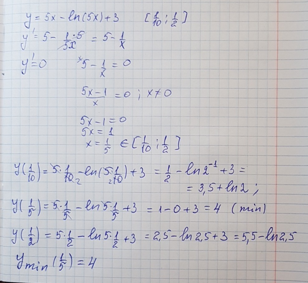
решение задания смотри на фотографии
Приложения:

Ответ дал:
0
Спасибо большое!) А 4 и 2 с конца строки - обязательные? В ЕГЭ нужно прикидывать те значения? Или как-то по свойству логарифма говорим о том, что 1/5 в данном случае уже миниум?
Ответ дал:
0
да я приблизительно на калькуляторе посчитал,чтобы было точнее.Но можно сказать,что прикинул.
Ответ дал:
0
спасибо за оценку
Вас заинтересует
2 года назад
2 года назад
6 лет назад
9 лет назад
10 лет назад