• Предмет: Математика
  • Автор: жами10
  • Вопрос задан 9 лет назад

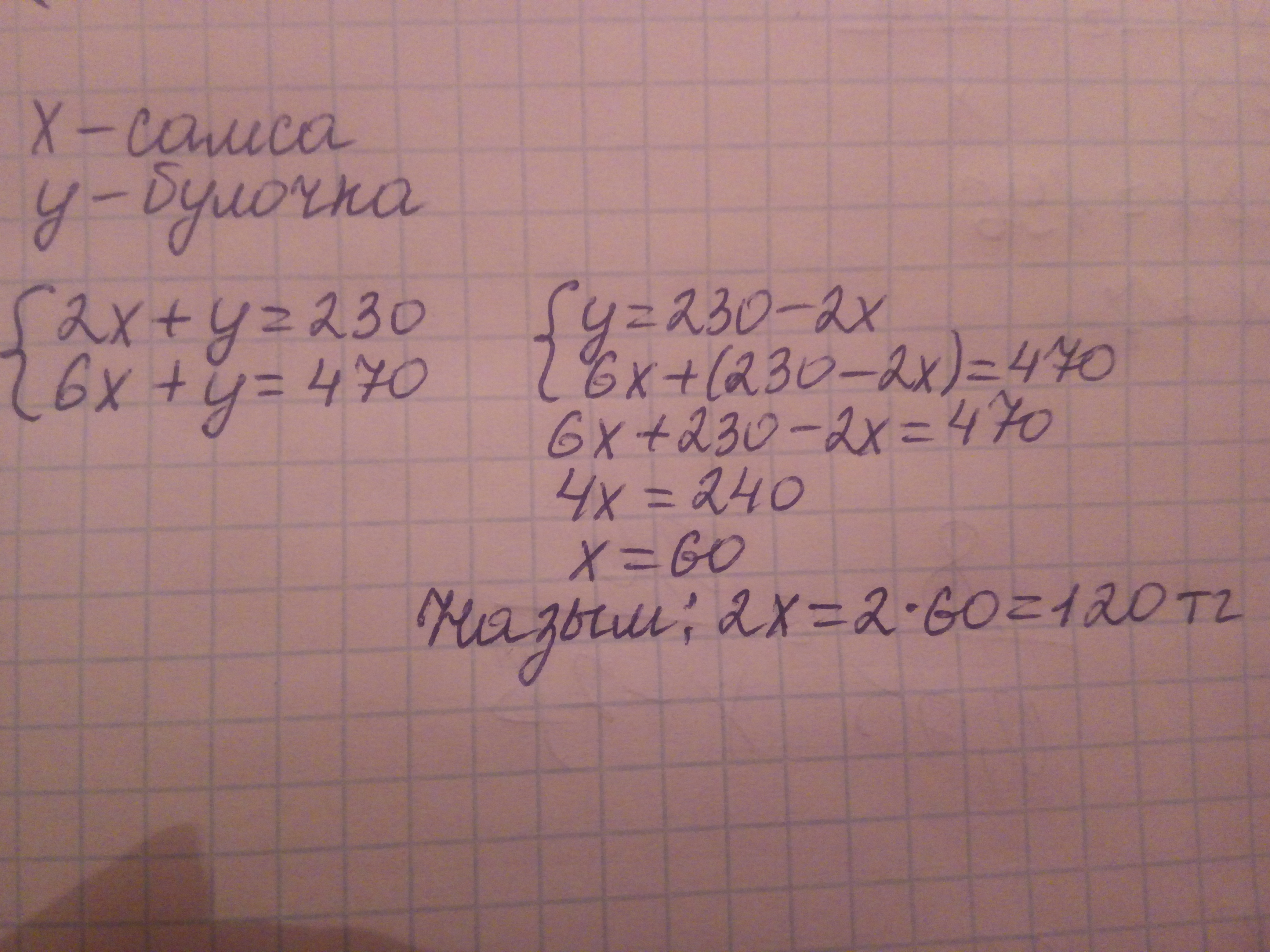
Алия потратила на 2 самсы и булочку 230тг.Маншук заплатила за 6 самсы и булочку 470тг,и 2самсы отдала Назым.Сколько тг должна Назым отдать Маншук?

Ответы

Ответ дал: Luna0000
0
Ответ!!!!!!!!!!!!!!!
Приложения:
Вас заинтересует