• Предмет: Математика
  • Автор: 1313ff
  • Вопрос задан 9 лет назад

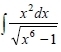
сделав замену переменной интегрирования найти интеграл

Приложения:

Ответы

Ответ дал: NNNLLL54
0
int  frac{x^2, dx}{sqrt{x^6-1}}=int  frac{x^2, dx}{sqrt{(x^3)^2-1}} =[, t=x^3; ,; dt=3x^2, dx, ]=frac{1}{3}int frac{dt}{sqrt{t^2-1}}=\\= frac{1}{3}cdot ln|t+sqrt{t^2-1}|+C= frac{1}{3}cdot ln|x^3+sqrt{x^6-1}|+C
Вас заинтересует