• Предмет: Физика
  • Автор: maksM51
  • Вопрос задан 9 лет назад

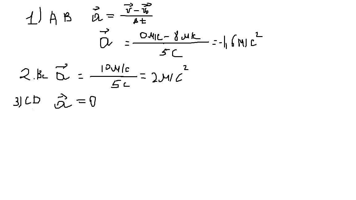
Найдите ускорение на участках ab,bc,cd

Приложения:

Ответы

Ответ дал: Amorfus
0
Для расчета воспользуемся формулой для нахождения ускорения. На отрезке АВ движение равнозамедленное поэтому и ускорение отрицательно. Участок CD равномерное движение так скорость не меняется с течением времени 
Приложения:
Вас заинтересует