• Предмет: Математика
  • Автор: rayswesley
  • Вопрос задан 9 лет назад

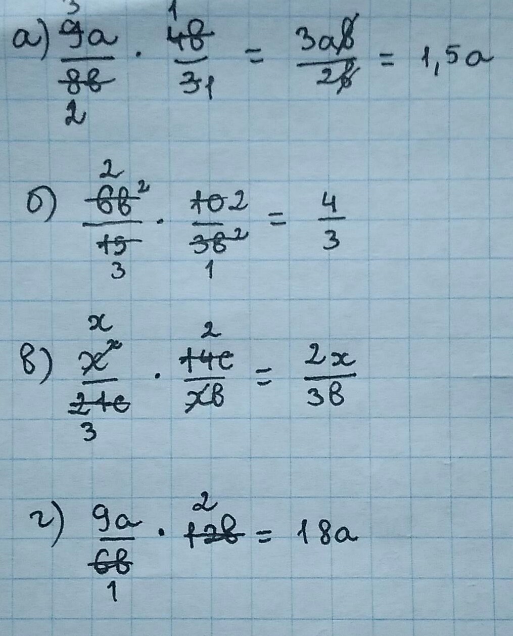
выполните умножение.
А)9a/8b*4b/3
B)6b^2/15*10/3b^2
C)x^2/21c*14c/xb
D)9a/6b*12b
Помогите пожалуйста!

Ответы

Ответ дал: ivolapseb
0
То, что зачеркнуто - сокращено
Приложения:
Ответ дал: rayswesley
0
Огромное спасибо
Вас заинтересует