• Предмет: Математика
  • Автор: kabzyapparova
  • Вопрос задан 9 лет назад

30 балл. помогите, пожалуйста
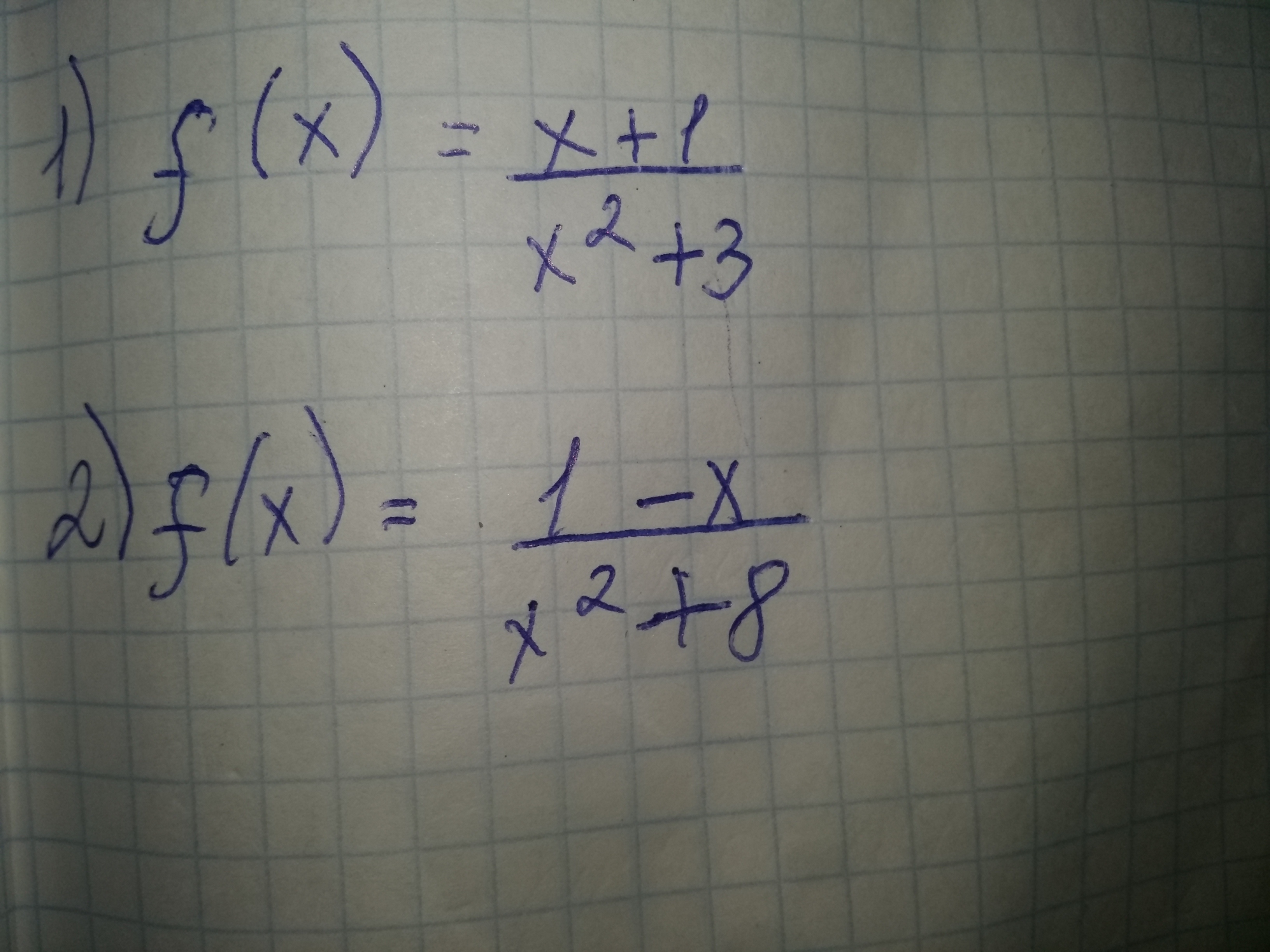
Найти значение x, при которых значение производной функции(на картинке) равно нулю

Приложения:

Ответы

Ответ дал: AnonimusPro
0
1)f(x)'= frac{(x+1)'*(x^2+3)-(x^2+3)'*(x+1)}{(x^2+3)^2} = frac{-x^2-2x+3}{(x^2+3)^2} 
\frac{-x^2-2x+3}{(x^2+3)^2}=0
\-x^2-2x+3=0
\x^2+2x-3=0
\D=4+12=16=4^2
\x_1= frac{-2+4}{2} =1
\x_2=-3
Ответ: x1=1; x2=-3
2) f(x)'= frac{(1-x)'*(x^2+8)-(x^2+8)'*(1-x)}{(x^2+8)^2} = frac{-x^2-8-2x(1-x)}{(x^2+8)^2} = frac{-x^2-2x+2x^2-8}{(x^2+8)^2} 
\= frac{x^2-2x-8}{(x^2+8)^2} 
\frac{x^2-2x-8}{(x^2+8)^2} =0
\x^2-2x-8=0
\D=4+32=36=6^2
\x_1= frac{2+6}{2} =4
\x_2= frac{-4}{2} =-2
Ответ: x1=4; x2=-2
Ответ дал: kabzyapparova
0
здесь нужно y1 и y2 находить, да?
Ответ дал: AnonimusPro
0
Зачем, если в задании указано найти только x
Ответ дал: kabzyapparova
0
ааа
Ответ дал: kabzyapparova
0
извините
Ответ дал: kabzyapparova
0
Огромное спасибо)
Вас заинтересует