• Предмет: Алгебра
  • Автор: danilvoloshin1488
  • Вопрос задан 9 лет назад

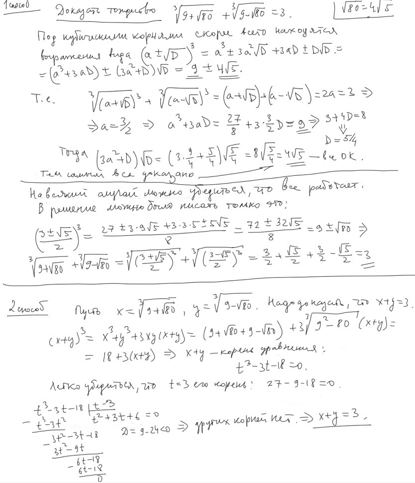
кубический корень из 9 плюс 80 в корне плюс кубический корень из 9 минус 80 в корне равно 3 доказать равенство

Ответы

Ответ дал: Denik777
0
Два способа прицеплены в картинке.
Приложения:
Вас заинтересует