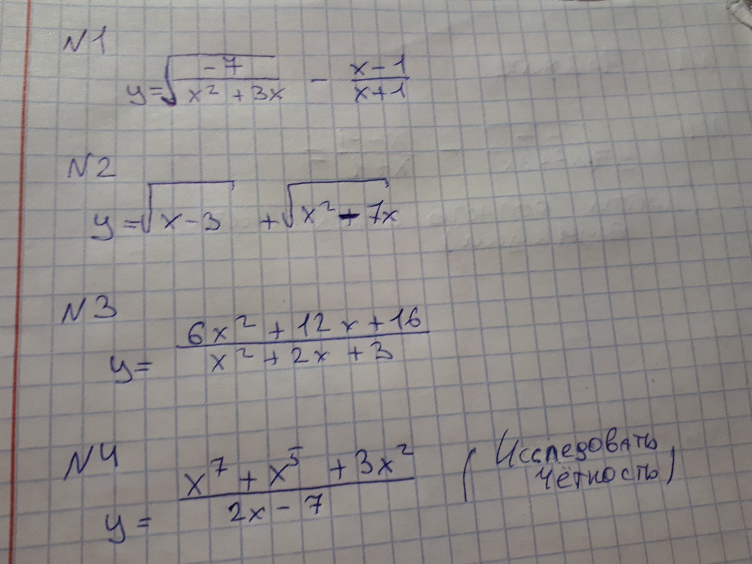
Помогите, пожалуйста. Алгебра, 10 класс.
Если не трудно, то подробно можно.
В 1-ом и 2-ом задание нужно найти область определения функции.
В 3-ем найти область значения функции.
А в 4-ом исследовать четность.
дам 30 баллов
Приложения:

Ответа на этот вопрос пока нет. Попробуйте найти его через форму поиска.
Вас заинтересует
2 года назад
2 года назад
9 лет назад
9 лет назад
10 лет назад