• Предмет: Математика
  • Автор: оруак
  • Вопрос задан 9 лет назад

самостоятельная работа
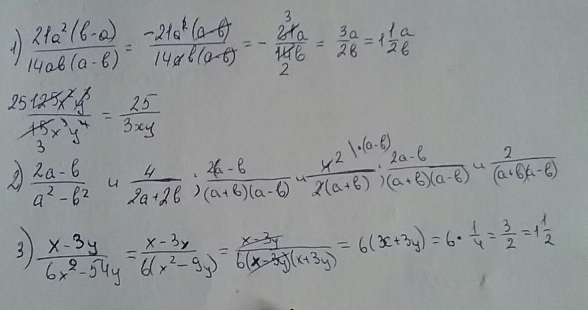
основное свойство дроби

Приложения:

Ответы

Ответ дал: shastynonelove1
0
первый вариант готов)
Приложения:
Ответ дал: shastynonelove1
0
только поторопись
Ответ дал: shastynonelove1
0
у тебя 2 минуты на решение
Ответ дал: shastynonelove1
0
уже прошло 9 минут
Ответ дал: shastynonelove1
0
пока
Ответ дал: оруак
0
ПРОШУ ПОМОГИТЕ ОЧЕНЬ НАДО упростить выражения фотография
https://znanija.com/task/25570173?utm_source=android&utm_medium=share&utm_campaign=question помоги пожалуйста
Вас заинтересует