• Предмет: Математика
  • Автор: школьник002
  • Вопрос задан 9 лет назад

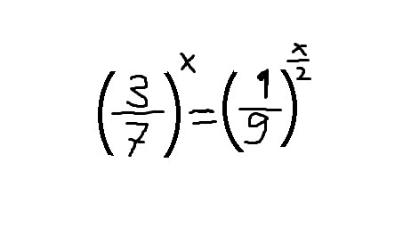
Найти х в уравнении.

Приложения:

Ответы

Ответ дал: amin07am
0
Отвеи-------☆☆☆☆☆☆☆☆----------
Приложения:
Вас заинтересует