• Предмет: Алгебра
  • Автор: islamadi
  • Вопрос задан 9 лет назад

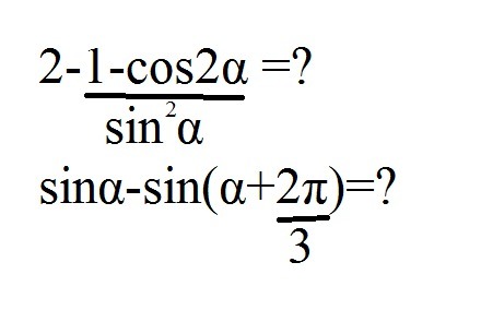
СРОЧНО!ПОМОГИТЕ!40 БАЛОВ!

Приложения:

Ответа на этот вопрос пока нет. Попробуйте найти его через форму поиска.

Вас заинтересует