• Предмет: Алгебра
  • Автор: Аноним
  • Вопрос задан 9 лет назад

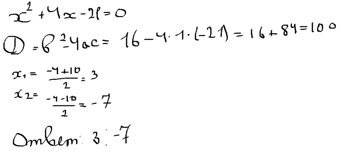
решите пожалуйста уровнене x^2+4x-21=0

Ответы

Ответ дал: Colere
0
Решение смотрите во вложении.
Приложения:
Вас заинтересует