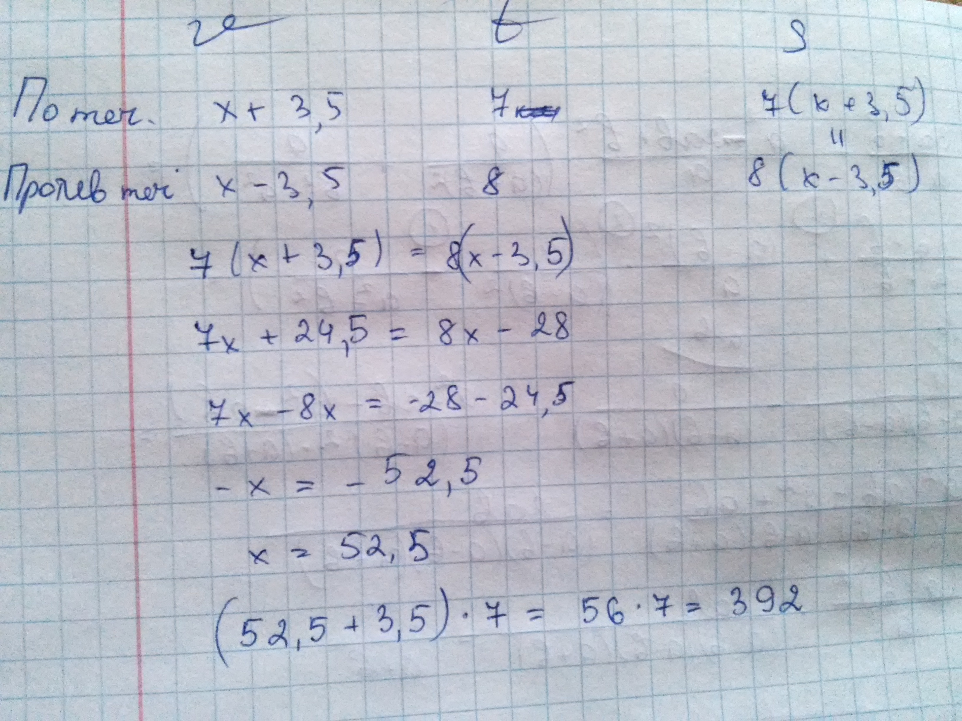
расстояние между двумя пунктами катер прошел по течению реки за 7 часов, а против течения-за 8 часов.Найдите расстояние между этими пунктами, если скорость течения реки 3.5кмч? помогите пожалуйста!!!ОЧЕНЬ НУЖНО!
Ответы
Ответ дал:
0
Вот решение. Наслаждайся.
Приложения:
Вас заинтересует
2 года назад
2 года назад
3 года назад
3 года назад
10 лет назад
10 лет назад
10 лет назад
10 лет назад