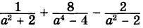
Упростите выражение докажите, что значение данного выражения отрицательно при всех допустимых значениях переменной.
Приложения:

Ответы
Ответ дал:
0
надеюсь, все понятно)
Приложения:

Ответ дал:
0
ну все же спасибо!
Ответ дал:
0
удачи тебе пока!
Ответ дал:
0
могу с физикой или химией помочь если надо будет
Ответ дал:
0
биологию
Ответ дал:
0
ладно пока)
Вас заинтересует
2 года назад
3 года назад
9 лет назад
9 лет назад
10 лет назад