Яхту спускают на воду по наклонным стапелям. Первые 80 см она прошла за 10 секунд. за какое время яхта прошло оставшиеся 30 метров, если движение оставалось равноускоренным?
Решать во вложении!!!
Ответы
Ответ дал:
1
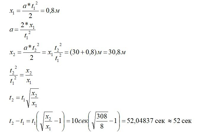
смотри решение во вложении
Приложения:
Ответ дал:
2
S1=at1^2/2; a=2S1/t1^2=1,6/100=0,016м/с^2 - нашли ускорение.
S2=at2^2/2; 30,8=0,016*t2^2/2; весь путь; t2 - время всего спуска.
61,6=0,016*t2^2; t2^2=61,6/0,016=61600/16;
t2=62c; t2-t1=52c - ответ.
S2=at2^2/2; 30,8=0,016*t2^2/2; весь путь; t2 - время всего спуска.
61,6=0,016*t2^2; t2^2=61,6/0,016=61600/16;
t2=62c; t2-t1=52c - ответ.
Аноним:
Можно проще))
если бы в задаче спрашивалось например за какое время яхта прошло оставшиеся 80 см, тогда Вы бы получили ответ 0, что не есть верно.
привык по возможности решать в виде формул до ответа. но можно и так как у Вас - с промежуточными рассчетами
Вас заинтересует
2 года назад
2 года назад
2 года назад
3 года назад
9 лет назад