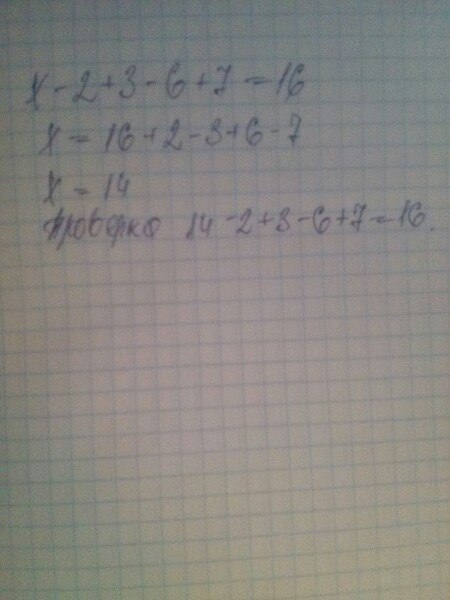
В комнате находилось несколько человек. Сначала вышли 2 человека и вошло 3, потом вышли 6 человек и вошло 7. В комнате стало 16 человек. Сколько человек было в комнате первоначально?
ПРИМЕЧАНИЕ: обязательно полное объяснение. Благодарю.
Ответы
Ответ дал:
2
----------------------------------
Приложения:

sadlily10Liliya:
Спасибо
Вас заинтересует
1 год назад
1 год назад
2 года назад
8 лет назад
8 лет назад