• Предмет: Алгебра
  • Автор: Света90110
  • Вопрос задан 9 лет назад

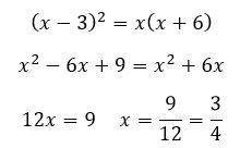
Решите уравнение (x-3)^2=x(x+6)

Ответы

Ответ дал: AleksaAndin
0
держи. там просто скобки раскрыть
Приложения:
Ответ дал: 19farukh75
0
Это был 4 класс наверное?
Приложения:
Вас заинтересует