• Предмет: Математика
  • Автор: фисгоо
  • Вопрос задан 9 лет назад

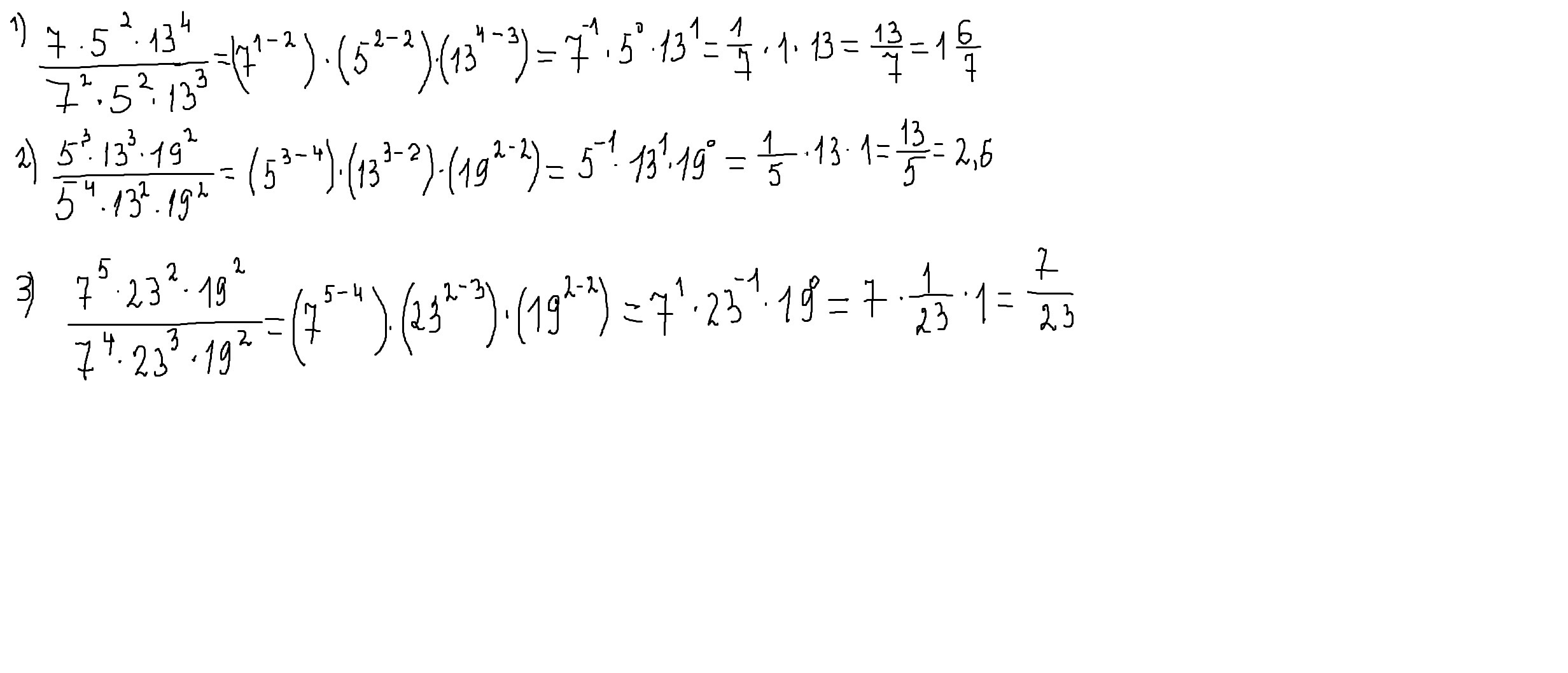
помогите решить желательно ещё и объяснить!!

Приложения:

Ответы

Ответ дал: parus77
0
при делении степеней с одинаковым основанием показатели вычитаются
Приложения:
Вас заинтересует