Ответы
Ответ дал:
0
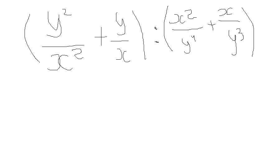
сперва разберемся с каждой скобкой по-отдельности:
1)
2)
Деление первой скобки на вторую(вторую переворачиваем и выполняем умножение):

1)
2)
Деление первой скобки на вторую(вторую переворачиваем и выполняем умножение):
Вас заинтересует
3 года назад
3 года назад
8 лет назад
8 лет назад
11 лет назад
11 лет назад
11 лет назад