• Предмет: Алгебра
  • Автор: Mama223
  • Вопрос задан 9 лет назад

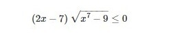
Решите неравенство, пожалуйста

Приложения:

Ответы

Ответ дал: 20Надя
0
Возможно это решается так
Приложения:
Ответ дал: Mama223
0
Да вот сам не знаю, как решать это
Ответ дал: Mama223
0
Бред какой-то
Ответ дал: Mama223
0
первый раз такие нервенства вижу
Ответ дал: Mama223
0
о тебе все рано спасибо:)
Ответ дал: 20Надя
0
Не за что, если что я такого тоже не особо много видела. Чисто интуитивно
Вас заинтересует