• Предмет: Алгебра
  • Автор: Torra2012
  • Вопрос задан 9 лет назад

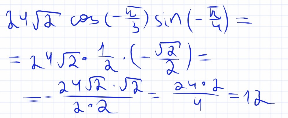
24sqrt2cos(-П/3)sin(-П/4)

Ответы

Ответ дал: volkodav575
0
Решение во вложении, надеюсь понятно
Приложения:
Вас заинтересует