• Предмет: Алгебра
  • Автор: Алкадиеныч
  • Вопрос задан 9 лет назад

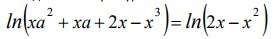
Найти все а, при каждом из которых уравнение 
имеет ровно один корень.     

Приложения:

Ответа на этот вопрос пока нет. Попробуйте найти его через форму поиска.

Вас заинтересует