какой вместимости надо взять сосуд, чтобы в него можно было налить воду масса которой 40кг а плотность водды 1000кг/м 3
Ответы
Ответ дал:
0
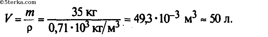
50 л
-------------------------
-------------------------
Приложения:

Ответ дал:
0
а где ты взял 0,71?
Ответ дал:
0
ошибся, 40 литров
Вас заинтересует
2 года назад
2 года назад
3 года назад
3 года назад
9 лет назад
9 лет назад
10 лет назад