2. Найти координаты вершины параболы f(х) = 6х2 – 24 х + 4
f(х) = х2 +6х+9
f(х) = х2 +3х – 4
f(х) = 2х2 -3х - 5
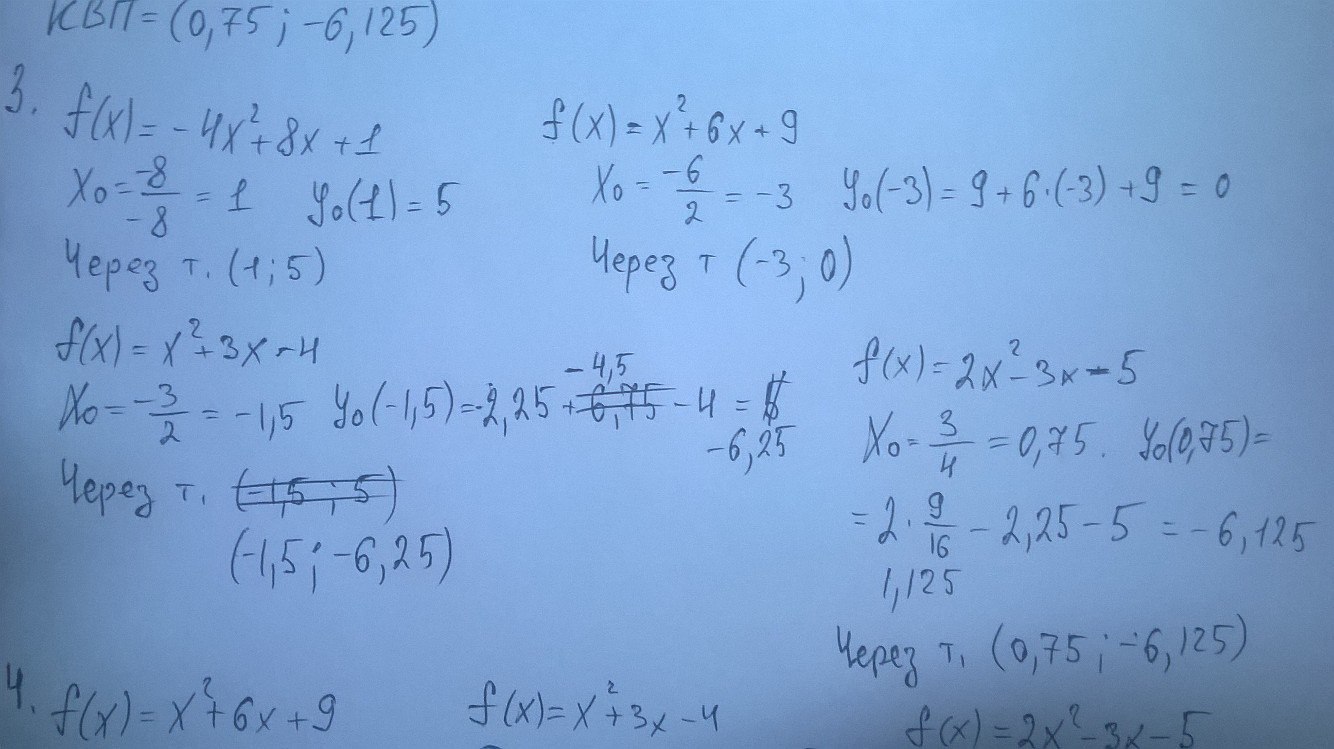
3. Через какую точку на оси ОХ проходит ось симметрии параболы у = - 4х2 + 8 х + 1
f(х) = х2 +6х+9
f(х) = х2 +3х – 4
f(х) = 2х2 -3х - 5
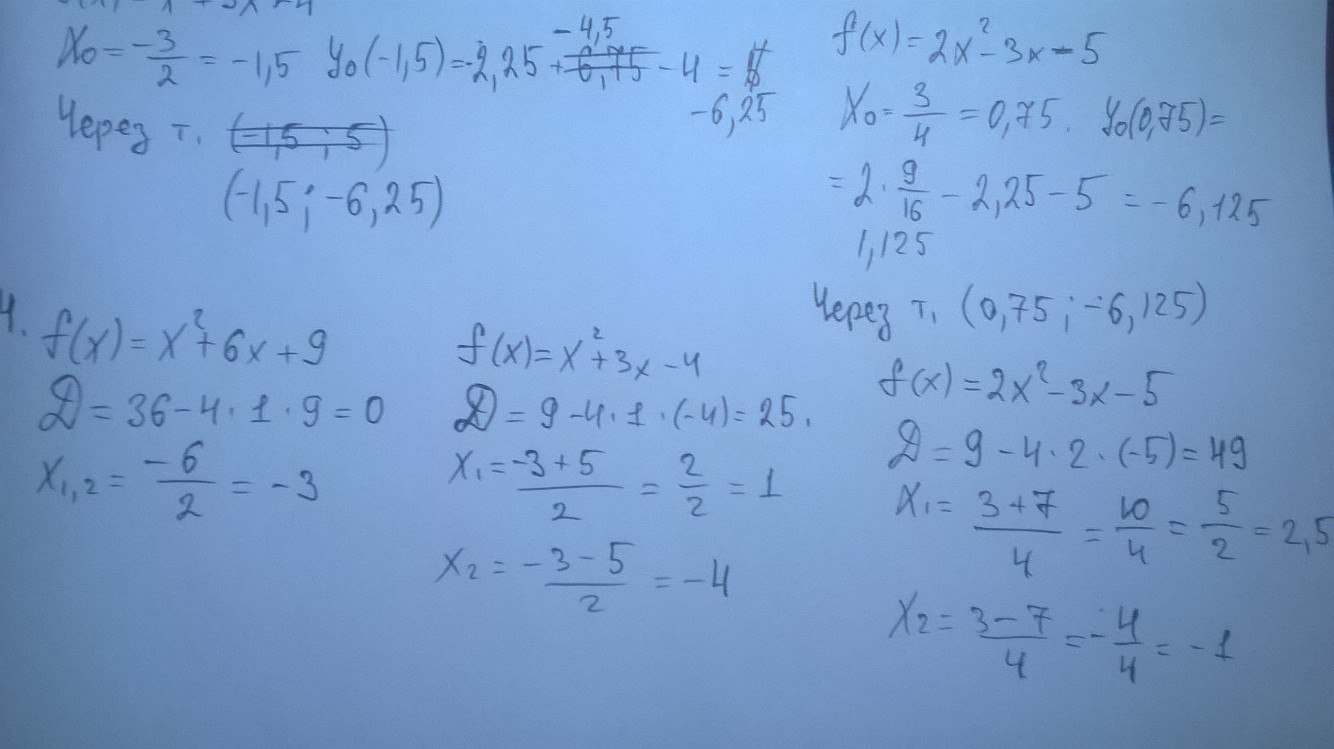
4. Найти нули функции f(х) = х2 +6х+9
f(х) = х2 +3х – 4
f(х) = 2х2 -3х - 5
Ответы
Ответ дал:
0
Пожалуйста! Вот решение вашего задания!
Приложения:



Вас заинтересует
2 года назад
2 года назад
3 года назад
3 года назад
9 лет назад
9 лет назад
10 лет назад