• Предмет: Математика
  • Автор: TitanMatan
  • Вопрос задан 9 лет назад

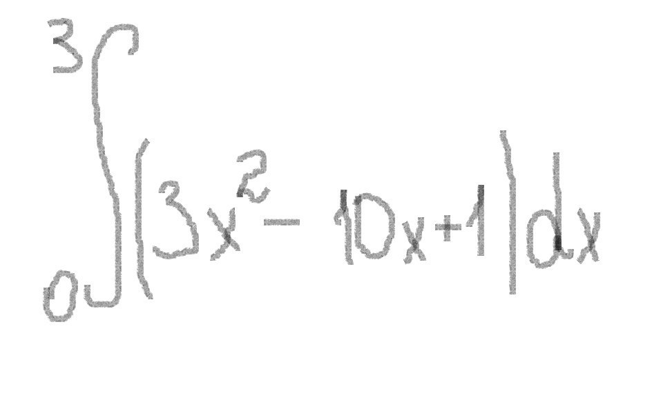
Найдите определённый интеграл:

Приложения:

Ответы

Ответ дал: alinaa1555
0
-15.........................
Ответ дал: TitanMatan
0
Нужно полное решение,А не ответ.
Вас заинтересует