• Предмет: Математика
  • Автор: Benstey
  • Вопрос задан 9 лет назад

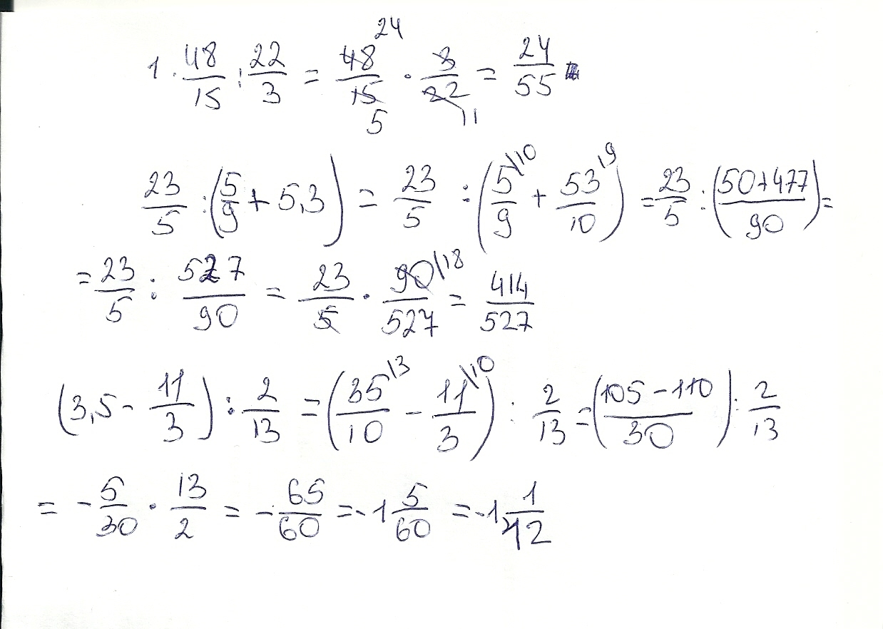
Разделите дроби:

48⁄15 : 22⁄3
23⁄5 : (5⁄9 + 5,3)
(3,5 − 11/3) : 2/13

Ответы

Ответ дал: Inga30
0
Если что-то не понятно, спрашивайте.
Приложения:
Ответ дал: p0tat0es
0
(3,5 − 1 1/3) : 2/13?
Ответ дал: Inga30
0
решить?
Вас заинтересует