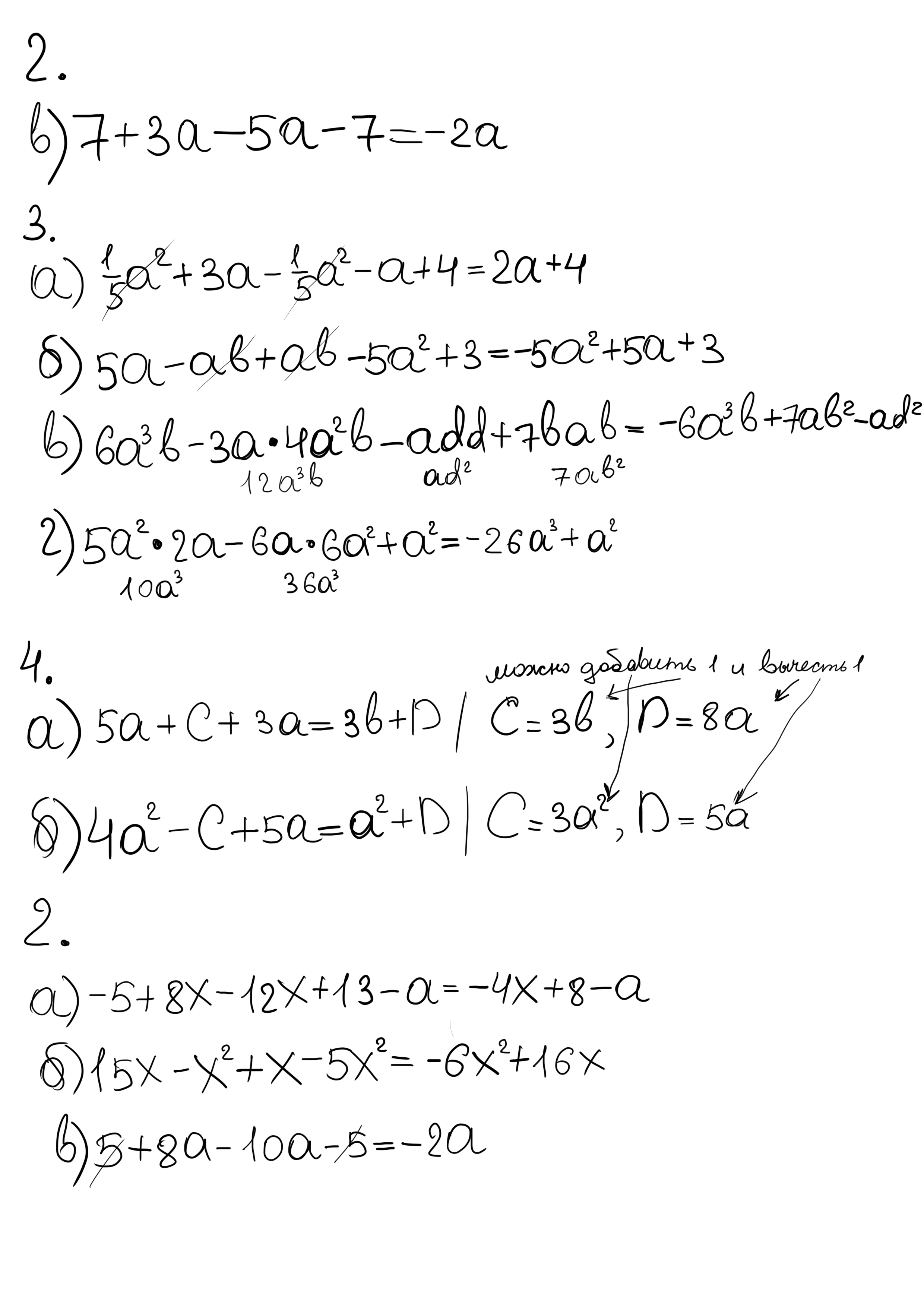
2. Приведите многочлен к стандартному виду:
в) 7 + 3a - 5a - 7.
3. Приведите многочлен к стандартному виду, укажите его степень:
а) 1/5a^(2) + 3a - 1/5a^(2) - a + 4;
б) 5a - ab + ab - 5a^(2) + 3;
в) 6a^(3)b - 3a x 4a^(2)b - add + 7bab;
г) 5a^(2) x 2a - 6a x 6a^(2) + a^(2).
4. Вместо каждой букв C и D подберите одночлен так, чтобы выполнялось алгебраическое равенство (найдите два решения задачи):
а) 5a + C + 3a = 3b + D;
б) 4a^(2) - C + 5a = a^(2) + D.
2. Приведите многочлен к стандартному виду:
а) -5 + 8x - 12x + 13 - a;
б) 15x - x^(2) + x - 5x^(2);
в) 5 + 8a - 10a - 5.
Ответы
Ответ дал:
0
вроде все правильно, но лучше проверить
Приложения:

Вас заинтересует
2 года назад
3 года назад
9 лет назад
9 лет назад
10 лет назад
10 лет назад