• Предмет: Алгебра
  • Автор: almiskef02
  • Вопрос задан 9 лет назад

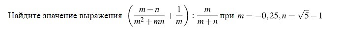
Помогите решить выражение пожалуйста.

Приложения:

Ответы

Ответ дал: mikael2
0
A=(m-n)/m(m+n)+1/m=[(m-n)+m+n]/m(m+n)=2m/m(m+n)=2/(m+n)
2/(m+n)*(m+n)/m=2/m   m=-0.25  A=-8
Вас заинтересует