• Предмет: Математика
  • Автор: sergey2493
  • Вопрос задан 9 лет назад

Помогите, пожалуйста, с решением !!!

Приложения:

Ответы

Ответ дал: olgas2000
0
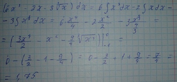
Решение определенного интеграла.

Приложения:
Вас заинтересует