• Предмет: Математика
  • Автор: kristina1117
  • Вопрос задан 9 лет назад

Помогите, срочно, пожалуйста !!!!

Приложения:

Ответы

Ответ дал: mrarakelyan
0
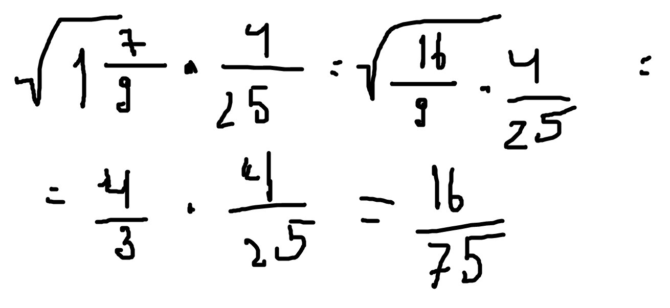
Вот решение! .....................................................

Приложения:
Вас заинтересует