• Предмет: Математика
  • Автор: MariSar
  • Вопрос задан 9 лет назад

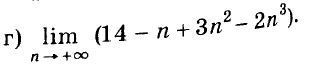
вычислите предел последовательности

Приложения:

Ответа на этот вопрос пока нет. Попробуйте найти его через форму поиска.

Вас заинтересует