• Предмет: Алгебра
  • Автор: Глупыйстулент
  • Вопрос задан 9 лет назад

помогите с алгеброй пожалуйста

Приложения:

Ответы

Ответ дал: 19farukh75
0
!!!!!!!!!!!!!!!!!!!!!!!!!!!!!!!
Приложения:
Ответ дал: Глупыйстулент
0
ответ не правильный( Варианты ответов: А) 1/2; В) 1/3 С) 1/4 D) 1/5 E) 1/6
Ответ дал: 19farukh75
0
Да я нашёл ошибку
Ответ дал: 19farukh75
0
ответ 1/3 сейчас решение исправлю и поставлю
Ответ дал: Глупыйстулент
0
ок, спасибо большое
Ответ дал: 19farukh75
0
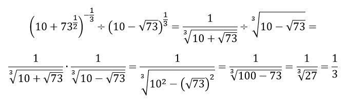
Всё теперь уж точно правильно.
Вас заинтересует