• Предмет: Алгебра
  • Автор: Mognolia
  • Вопрос задан 9 лет назад

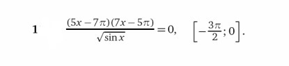
решение тригонометричеких уравнений

Приложения:

Ответы

Ответ дал: NNNLLL54
0
 frac{(5x-7pi )(7x-5pi )}{ sqrt{sinx} } =0; ,; ; ODZ:; sinx textgreater  0; ,; ; 2pi n textless  x textless  pi +2pi n\\(5x-7pi )(7x-5pi )=0\\5x-7pi =0; ; to ; ; x=frac{7pi}{5} textgreater  pi ,; 3; chetvert; ,; ; ne; podxodit\\7x-5pi =0; ; to ; ; x=frac{5pi}{7} textless  pi \\xin [-frac{3pi}{2},0]:; ; x=frac{5pi}{7}= frac{5pi }{7}-2pi  =- frac{9pi }7}\\Otvet:; ; x=-frac{9pi}{7}; .
Вас заинтересует