• Предмет: Математика
  • Автор: svetaH666
  • Вопрос задан 9 лет назад

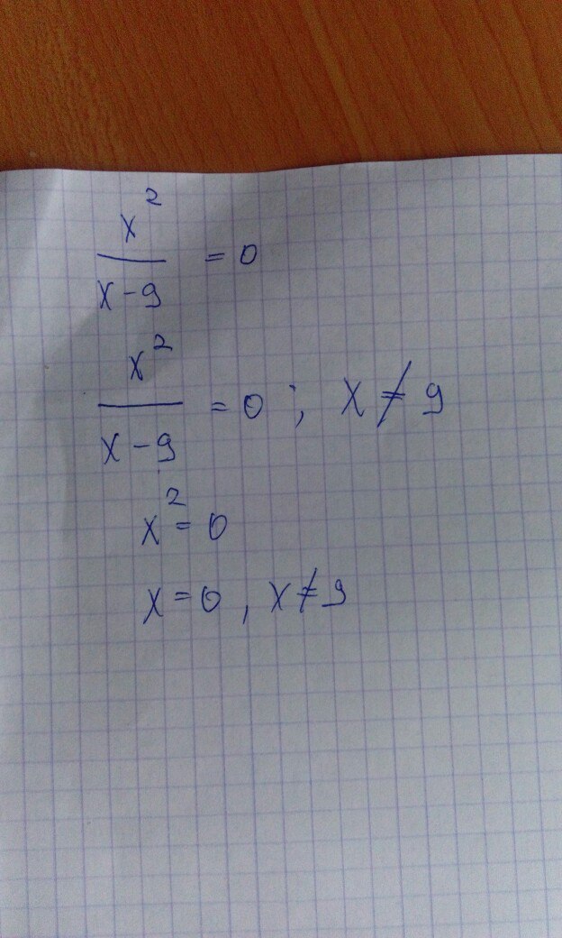
x2/x-9=0 допоможіть будь ласка.Дробове рівняння(х в квадраті)

Ответы

Ответ дал: НКВД45ЦККПСС
0
Наверно так смотря что ты имел ввиду
Приложения:
Ответ дал: svetaH666
0
Да спасибо
Ответ дал: svetaH666
0
(a2/a+5-a3/a2+10a+25)/(a/a+5-a2/a2-25)=5a-a2/a+5/Дріб, спростити вираз ,допоможіть
Вас заинтересует