• Предмет: Геометрия
  • Автор: maksvolk1998
  • Вопрос задан 9 лет назад

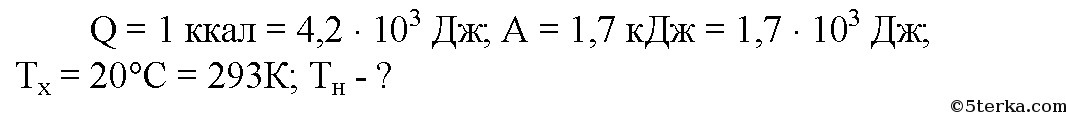
Тепловая машина работает по циклу Карно и за счет каждой килокалории, полученной от нагревателя, совершает работу 1,7 кДж. Температура холодильника равна 20 °С. Какова температура нагревателя?

Ответы

Ответ дал: DenisRekasov2006
0
На здоровье )))))))))))))))))
Приложения:
Вас заинтересует