Ответы
Ответ дал:
0
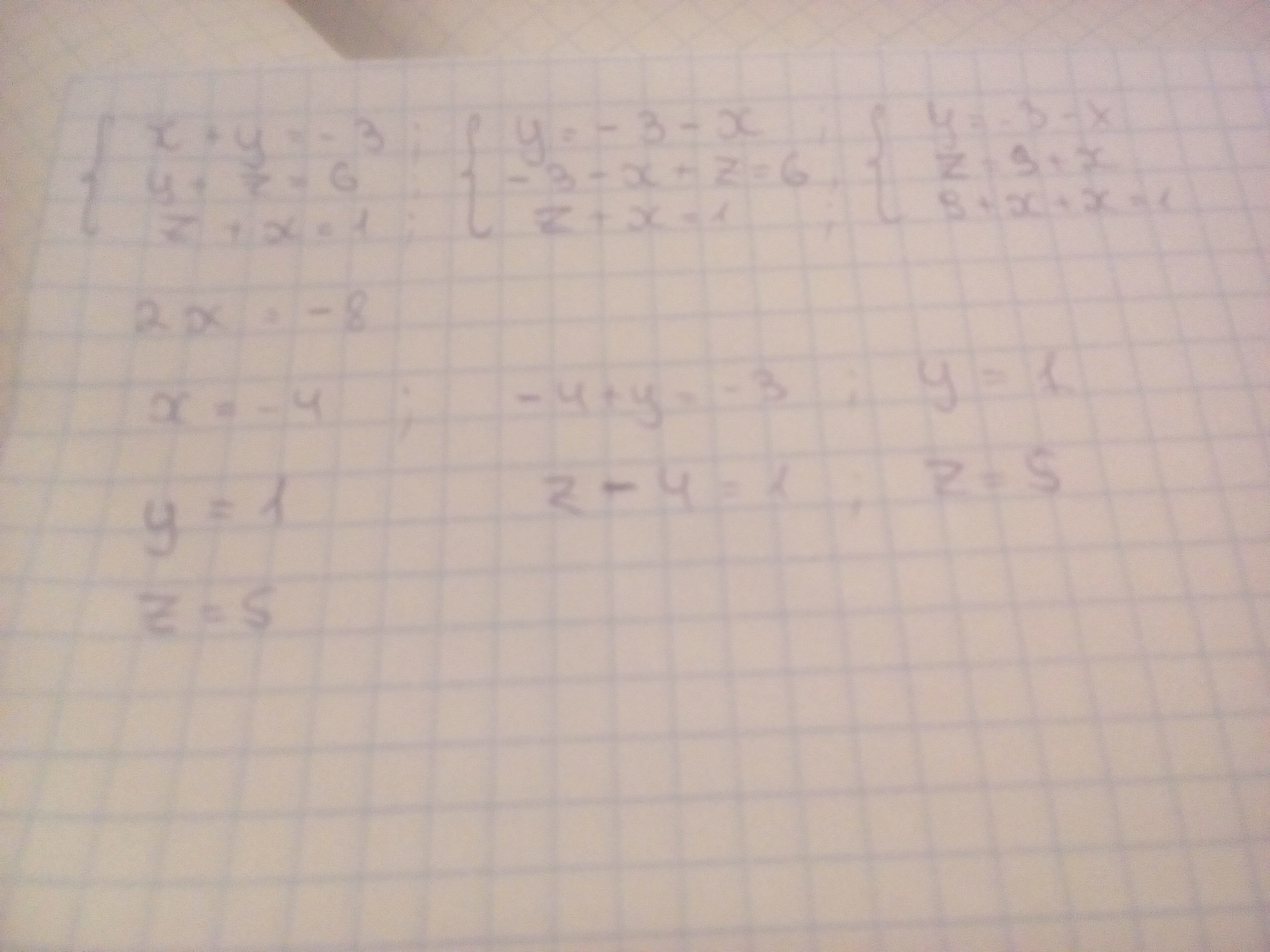
Сначала надо выразить у ,подставь вместе него во вторую систему,то что мы выразили.Потом выразить z и так же в третию систему подставить вместо z,то что мы выразили.Когда нашли х,подставляя его в первые примеры,легко найти У и z
Приложения:

Вас заинтересует
2 года назад
9 лет назад
9 лет назад
10 лет назад
10 лет назад