• Предмет: Математика
  • Автор: Бикмур
  • Вопрос задан 9 лет назад

помогите пожалуйста!!!!

Приложения:

Ответы

Ответ дал: всезнающия1
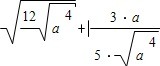
0
√12=3,4 √4=2 там умнажаешь 3,4*2=6,8*3=20,4. √5=2,2 потом 20,4+2,2=22,6 ответ 22,6
Вас заинтересует