ПАМАГИТЕ ПАЖАЛУЙСТО!:с ни палучайится ришить! Йа видь пытаюсь, азазазх. Нужна упростить
Приложения:

Ответы
Ответ дал:
0
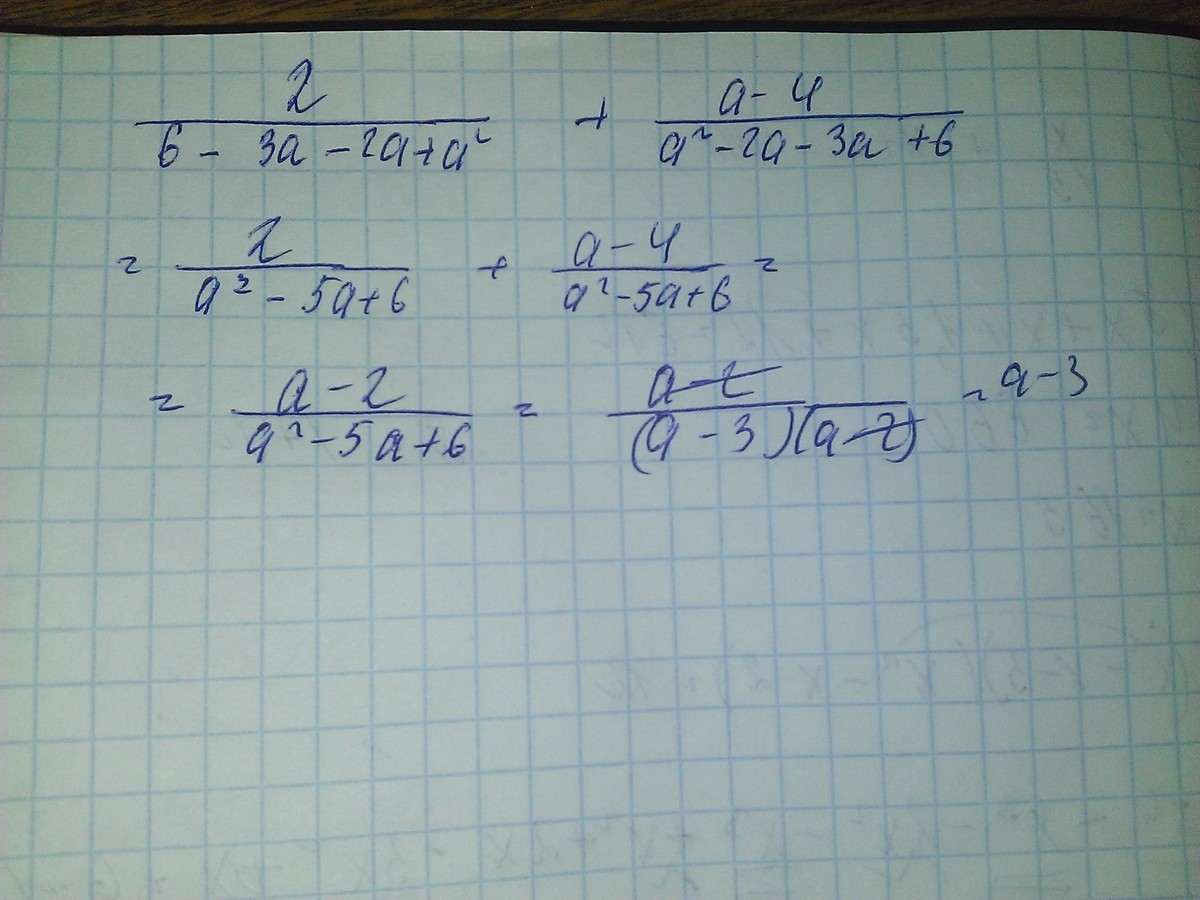
Раскрой скобки в знаменателях обоих дробей. Затем приведи подобные члены и сложи числители т.к. знаменатели получились равными. В знаменателе квадратное уравнение получается. Находишь дискриминант и раскладываешь на множители
Приложения:

Ответ дал:
0
Только я неправильно ответ записала. В конце не (a-3) а 1/(a-3)
Вас заинтересует
2 года назад
8 лет назад
10 лет назад
10 лет назад