• Предмет: Математика
  • Автор: fhyr678
  • Вопрос задан 9 лет назад

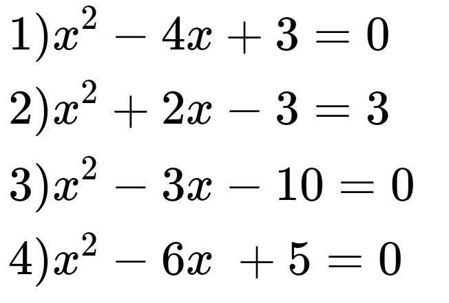
решите квадратное уравнения, разложив левую часть на множители.

Приложения:

Ответа на этот вопрос пока нет. Попробуйте найти его через форму поиска.

Вас заинтересует