• Предмет: Алгебра
  • Автор: Egor200200
  • Вопрос задан 9 лет назад

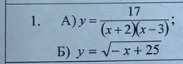
Найти область определения функций, заданных аналитически.

Приложения:

Ответа на этот вопрос пока нет. Попробуйте найти его через форму поиска.

Вас заинтересует