Даю 30 баллов.
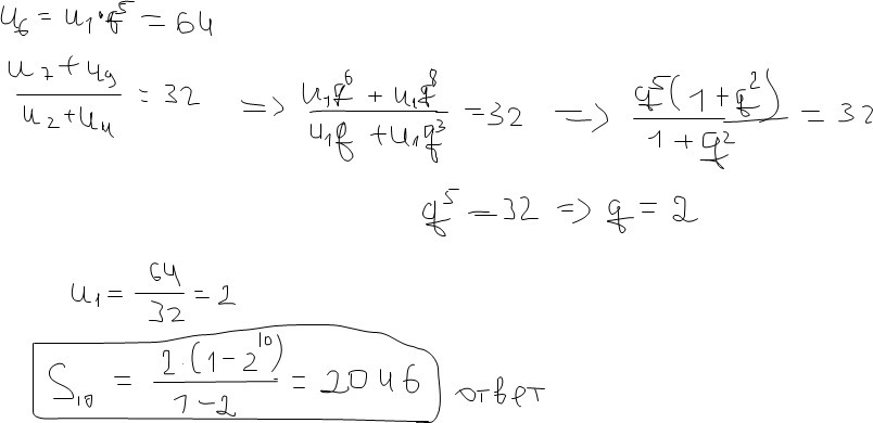
В геометрической прогрессии u₆=64, а отношение суммы u₇+ u₉ к сумме u₂+u₄ равно 32. Найдите сумму первых десяти членов этой прогрессии.
Ответы
Ответ дал:
0
sarfthyukiuythrgewr45678uiok
Приложения:

Вас заинтересует
2 года назад
3 года назад