Ответы
Ответ дал:
0
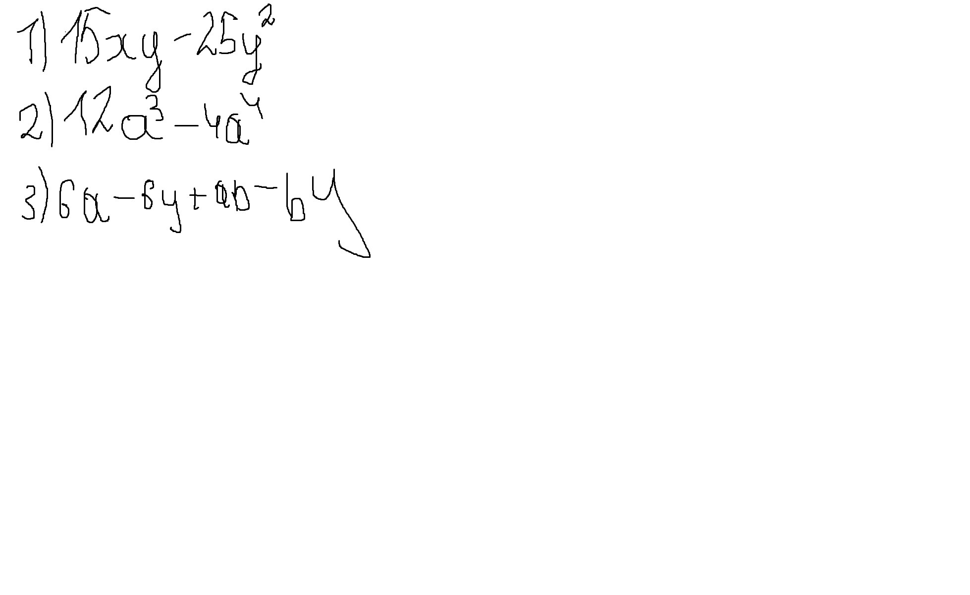
5•3xy-5•5y в квадрате
3•4a в кубе- 2•2а в четвёртой
3•2а- 3•2y+ab-by
3•4a в кубе- 2•2а в четвёртой
3•2а- 3•2y+ab-by
Вас заинтересует
3 года назад
3 года назад
9 лет назад
9 лет назад
10 лет назад
10 лет назад