• Предмет: Алгебра
  • Автор: Belka67767
  • Вопрос задан 9 лет назад

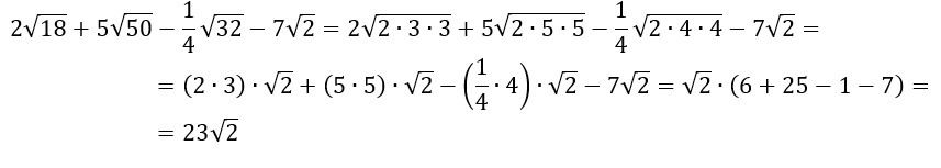
Вынесете множитель из-под знака корня и упростите выражение:
2√18+5√50-1/4√32-7√2
Заранее спасибо)*

Ответы

Ответ дал: FleedX
0
как-то так получается
Приложения:
Вас заинтересует
3 года назад