Ответы
Ответ дал:
0
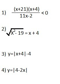
1) По методу интервалов x ∈ (-oo; -21) U (-4; 2/11)
2) Возводим в квадрат
x^2 - 19 = (x + 4)^2 = x^2 + 8x + 16
-19 - 16 = 8x
x = -35/8
3) и 4) Не ясно, что нужно сделать.
2) Возводим в квадрат
x^2 - 19 = (x + 4)^2 = x^2 + 8x + 16
-19 - 16 = 8x
x = -35/8
3) и 4) Не ясно, что нужно сделать.
Вас заинтересует
3 года назад
9 лет назад
9 лет назад
10 лет назад