Ответы
Ответ дал:
0
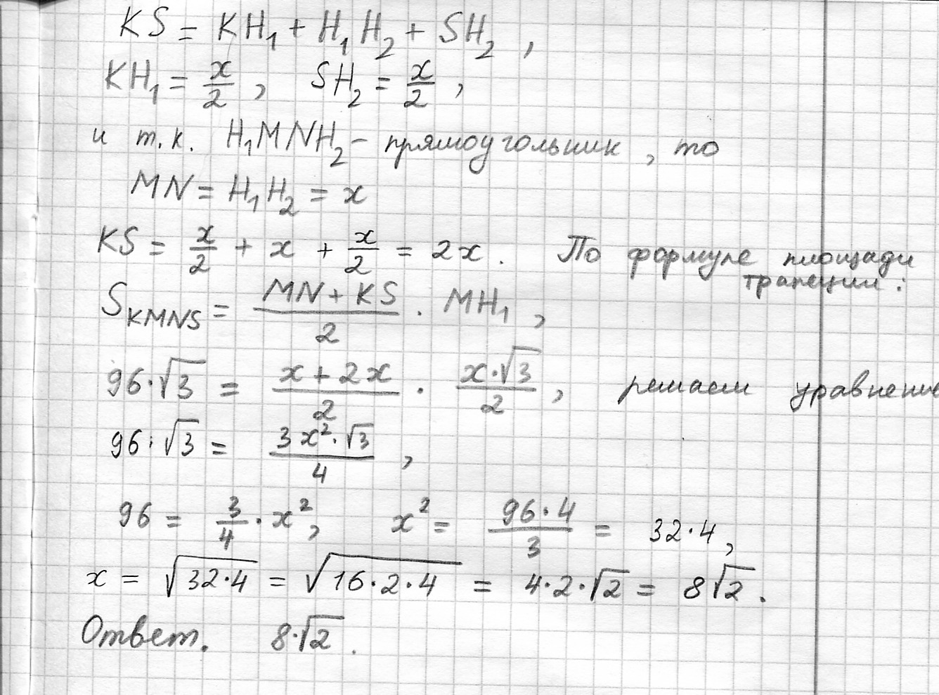
я написал решение на двух листочках...
Приложения:


Вас заинтересует
2 года назад
3 года назад
3 года назад
9 лет назад