• Предмет: Алгебра
  • Автор: nasty2204
  • Вопрос задан 9 лет назад

найдите значения выражения.
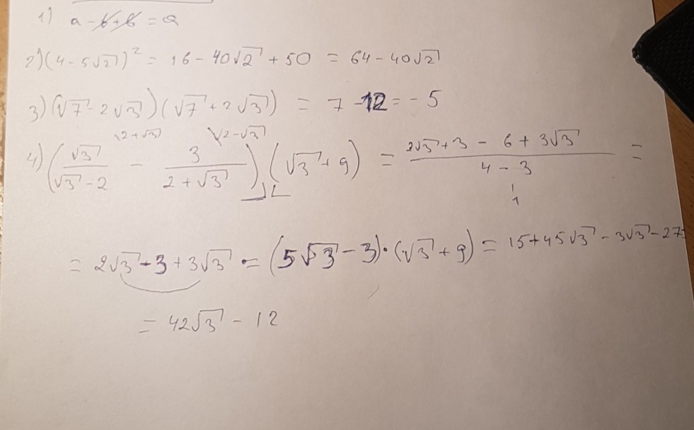
( sqrt{a}  +  sqrt{b} )( sqrt{a}  -  sqrt{b} ) + b
(4 - 5 sqrt{2} )^{2}
( sqrt{7}  - 2 sqrt{3} )( sqrt{7}  + 2 sqrt{3} )
( frac{ sqrt{3} }{ sqrt{3}  - 2}  -  frac{3}{2 +  sqrt{3} }) ( sqrt{3}  + 9)

Ответы

Ответ дал: Alan1732
0
если я правильно понял последовательность номеров. То ответы должны быть правильными
Приложения:
Вас заинтересует